Also, dann startet das Kriegsevent jetzt. Ihr könnt bis morgen Abend sagen, was ihr macht, dann werte ich es aus. Die aktuelle Karte und die Daten eurer Städte sind in den Kommentaren. Bei Fragen entweder die Regeln lesen oder mich Fragen. Wenn ihr irgendwelche Verhandlungen führt, dann macht das bitte z.B. in einem Chat oder irgendwo Privat. Hier am besten nur die Aktion ausführen, bei Handel und so weiter müssen aber alle beteiligten hier zustimmen. Danke und viel Spass.
Anonym der 10 000
Karte
Anonym der 10 000
@Saruman (Isengard)
Anonym der 10 000
@Slay (Silvana)
Anonym der 10 000
@Keks (Hohennebel)
Anonym der 10 000
@Gelb (Mincity)
Anonym der 10 000
@Katze (Messerstadt)
Anonym der 10 000
@Rami (Al-Qamar)
Anonym der 10 000
@Rexy (Avalon)
Anonym der 10 000
@Crow (Dusk Town)
Anonym der 10 000
@Mats (Fineear)
Anonym der 10 000
@SWF (Minas Shonar)
Anonym der 10 000
#noai
Anonym der 10 000
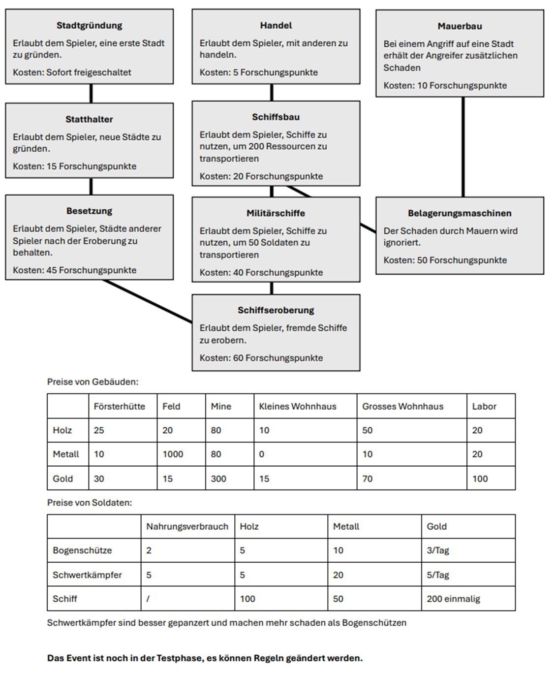
Ich merke gerade, ich habe überall die eine Forschung abgeschnitten... egal, die hat noch niemand erforscht
MATS
Also kann ich jetzt zB. sagen: 1 Bewohner arbeitet da und die anderen 4 arbeiten da.?
Anonym der 10 000
Ne, was für Berufe willst du da machen?._.
Anonym der 10 000
Du kannst sachen bauen, wenn du forschungspunkte hast forschen, du kannst wenn du die nötige Forschung hast handeln, du kannst truppen rekrutieren, du kannst andere Angreifen, Bündnisse eingehen, Orten Namen geben, usw.
gelb
schlechtewitze.com/community/p/neues-kriegsevent-erstellt
gelb
für den fall das ihr die Anleitung braucht :)
gelb
Ich möchte erkunden
gelb
Ah wait ich brauch nen Schiff ne
gelb
Dann… stell ich Nen villager ein
Anonym der 10 000
Du kannst keine Berufe einstellen
gelb
Was gibt’s da noch mal?
Anonym der 10 000
ES GIBT KEINE
Anonym der 10 000
.
gelb
Ich Bau ein haus
Anonym der 10 000
Ein Wohnhaus, ein Labor, eine Produktionsstätte?
gelb
Labor. ARBEITET, IHR GNOME!
Jakoscha11🇩🇪 (🇫🇷) #DungeonWorld
Ich würde gerne einen Bewohner als Nuklearwissenschaftler einstellen
gelb
Einer will jzt schon Atombomben bauen 🙏😭😂
MATS
Ich baue ein Labor.
Rexy #A Song of Ice and Fire
ich bau auch ein labor
Necrowmancer
Sry, ich steige gleich ein
Keks503
In den Regeln steht, Felder kosten 1000 Metall? Falls das tatsächlich so ist, würde ich erst einmal wie die anderen ein Labor bauen.
Keks503
Valhalla hat jetzt auch ein Wappen (Narwal vor gekreuzter Axt und Schlüssel)
Necrowmancer
Baue auch erstmal Labor
Anonym der 10 000
Uh._. Keine Ahnung wie mir das passieren konnte._.
Anonym der 10 000
Das Feld kostet eig 0 metall
Necrowmancer
Kannst maybe nochmal Regeln reinschicken?
Anonym der 10 000
Klar
Anonym der 10 000
Anonym der 10 000
Anonym der 10 000
Necrowmancer
thx
Keks503
Dann baue ich neben dem Labor noch ein Feld ^^
Jakoscha11🇩🇪 (🇫🇷) #DungeonWorld
Tatsache, Feld kostet 1k Metall
Rami
Ich baue ne Produktionsstätte
SWF
Ich bau zuerst mal n labor
SWF
Und ich glaub n feld wäre auch gut.
Anonym der 10 000
(Derzeit Maximal ein bauwerk am tag)
Anonym der 10 000
Ihr könntet aber zum Beispiel Soldaten rekrutieren
Rami
Ich rekrutiere 10 soldaten
Anonym der 10 000
Ok, was für eine? Mine, feld, oder holzfäller?
MATS
Ich erforsche Handel und Bau ein Feld.
Anonym der 10 000
.
gelb
Heute ja
gelb
Hab gestern lab gebaut
Rexy #A Song of Ice and Fire
ich bau ein feld
Ramadane #FCK
Baue ein Labor
Anonym der 10 000
Der Tag endet, wenn ich das sage
Anonym der 10 000
Also erst nachher
𝕊𝕃𝔸𝕐
Baue ein labor
MATS
Ich rekrutiere 3 Bogenschützen
Rexy #A Song of Ice and Fire
ich rekrutiere 1 bogenschütze und 2 schwertkämpfer
Keks503
Dann baue ich erstmal nur ein Feld und rekrutiere einen Bogenschützen.
gelb
Ich habe mich nur dumm ausgedrückt ich meinte, das ich gestern das Labor gebaut habe und heute Militär hole. Und zwar genau das gleiche wie rexy 1 bogen 2 swert
ㅤㅤㅤㅤㅤㅤㅤㅤAnonym
Excel
Anonym der 10 000
Gut, dann ist der Tag jz fertig
Anonym der 10 000
Bitte nichts neues schreiben bis ich es sage
Anonym der 10 000
Also, Karte hat sich glb nd verändert...
Anonym der 10 000
@Saruman (Isengard)
Anonym der 10 000
@Slay (Silvana)
Anonym der 10 000
@Keks (Hohennebel)
Anonym der 10 000
@Gelb (Mincity)
Anonym der 10 000
@Katze (Messerstadt)
Anonym der 10 000
@Rami (Al-Qamar)
Anonym der 10 000
@Rexy (Avalon)
Anonym der 10 000
@Crow (Dusk Town)
Anonym der 10 000
@Mats (Fineear)
Anonym der 10 000
@SWF (Minas Shonar)
Anonym der 10 000
So, dann kann es weitergehen
Necrowmancer
Kk
gelb
Möchte anmerken, habe eig 2 schwertkämpfer rekrutiert aber naja egal
Anonym der 10 000
Einige von euch wollten beim Soldatenkauf Ressourcen ausgeben, die sie gar nd hatten, bei denen habe ich die höchsmögliche Zahl rekrutiert
Anonym der 10 000
Möchte Anmerken, du kannst dir keine 2 Schwertkämpfer leisten
Rexy #A Song of Ice and Fire
wie wars bei mir
gelb
Ah ok. Wie hat Rami dann 10 Bogenschützen!?
gelb
Ja is ok XD
Anonym der 10 000
Er hat kein Metall für Gebäude ausgegeben
Anonym der 10 000
Und er hat eine höhere Metallproduktion, darum hat er jz mehr
gelb
Ah ok. Wie farmt man noch Ma Metall?
Anonym der 10 000
Du müsstest deine Miene ausbauen
Anonym der 10 000
Aber das ist halt auch teuer
Rexy #A Song of Ice and Fire
ich hab gesagt dass ich ein feld baue
gelb
Wie viel
Anonym der 10 000
Aber wenn du handel erforscht hast könntest du mit anderen handeln
Rexy #A Song of Ice and Fire
und ich schalte handel frei
Anonym der 10 000
.
Anonym der 10 000
Du kannst nur ein Gebäude am Tag bauen
Anonym der 10 000
Möchtest du das feld jetzt bauen?
gelb
80 HOLZ?!
Rexy #A Song of Ice and Fire
kann ich?
Anonym der 10 000
Klar
Anonym der 10 000
Jz ist ein neuer Tag
Rexy #A Song of Ice and Fire
dann ja
Anonym der 10 000
Stützbalken und so
gelb
Ich gehe erkunden
Rexy #A Song of Ice and Fire
.
Anonym der 10 000
Inwiefern?
gelb
Forschungspunkte eintauschen
Anonym der 10 000
Achso
Anonym der 10 000
für Handel?
Necrowmancer
Könnte ich erstmal 2 Schwertkämpfer und 2 Schützen rekrutieren?
Anonym der 10 000
Ich schaue morgen ob das geht
gelb
Ja mach ma
Necrowmancer
Könnte ich mir ein Feld leisten?
gelb
Bin dann Off für heute (irl)
Rexy #A Song of Ice and Fire
bye
Necrowmancer
Würde gern Feld oder Mine bauen, ist aber zu teuer
Anonym der 10 000
Sag einfach "Ich möchte ein Feld bauen"
Anonym der 10 000
Ich schaue morgen Abend ob das möglich ist
Necrowmancer
Wieso heute nd?
Necrowmancer
Ich weiß nd was ich bauen will
Anonym der 10 000
Weil ich schon vor 5 Minuten alles ausgewertet habe?
Necrowmancer
Was könnte man denn heute tun
Anonym der 10 000
Dasselbe wie gestern
Necrowmancer
Dann tausche ich meine 5 Forschungspunkte für Handel ein
gelb
Geil.
gelb
Lass Handeln
Necrowmancer
Ok, was bietest du?
Anonym der 10 000
(Das bitte in einem Separaten Chat oder Privat, damit es übersichtlich bleibt)
gelb
Ok
gelb
Omada chat
Ramadane #FCK
Ich baue ein Feld ._.
Ramadane #FCK
Wo sind meine Forschungspunkte?
Keks503
Ich erbaue ein Labor
Anonym der 10 000
Oh, das habe ich komplett vergessen._.
Anonym der 10 000
egal, eif heute Abend
Anonym der 10 000
Kann leider bis Freitag nd mehr sry, danach geht es weiter